刚刚!陇南市“园丁奖”、“市长教育奖”出炉

文章正文
发布时间:2024-10-13 03:27

9月8日上午

在陇南市庆祝第36个教师节大会

暨市长教育奖学金颁奖仪式上

表彰了2019年度

陇南市“园丁奖”先进集体及先进个人

表彰了2020陇南市“市长教育奖”优秀学校、

优秀普通高中毕业生、

优秀初中毕业生和优秀家长

↓↓↓

中共陇南市委 陇南市人民政府

关于表彰2019年度陇南市“园丁奖”

先进集体及先进个人的决定

各县(区)党委和人民政府,市委各部门,市级国家机关及各部门,陇南军分区,武警陇南支队,各人民团体,中央、省驻陇南各单位:

近年来,在习近平新时代中国特色社会主义思想和党的十九大精神引领下,全市教育系统广大教师和教育工作者全面贯彻党和国家的教育方针,以立德树人为根本,全面推进教育改革,努力促进教育公平,提高教育质量,稳步精准实施教育脱贫攻坚工作,不断提高教育均衡发展水平,提升人民群众的教育获得感和满意度,全市基础教育质量稳步上升,教育面貌发生了历史性变化。全市教育系统涌现出了一批依法治教、管理规范、团结协作、锐意创新的先进集体和师德高尚、爱岗敬业、业绩突出、无私奉献的先进个人。在第36个教师节来临之际,为深入贯彻落实《陇南市全面深化新时代教师队伍建设改革的实施方案》和《关于建立激励机制加快提升普通中小学教育教学质量的通知》,表彰先进,树立典型,大力弘扬新时代尊师风尚,进一步激励、引导全市广大教师和教育工作者投身教育,奉献社会,市委、市政府决定,授予武都区东江初级中学等10个学校“陇南市教育系统先进集体”称号,周祖辉等79名教师“陇南市优秀教师”称号,郭粉朋等10名班主任“陇南市优秀班主任”称号,黄兆杰等11名同志“陇南市优秀教育工作者”称号。希望受到表彰的先进集体和个人要珍惜荣誉,发扬敬业奉献、开拓进取精神,谦虚谨慎,戒骄戒躁,为促进全市教育事业改革发展和脱贫攻坚再创佳绩。

市委、市政府要求,全市各级党政组织要坚定不移地落实教育优先发展战略,切实加强对教育工作的领导,深化教育改革,提高教育质量,促进教育公平,建设高素质教师队伍,推进各级各类教育全面协调发展。号召全社会要大力弘扬尊师重教的优良传统,大力宣传先进教师的典型事迹,努力为教师办实事、办好事,引导全社会形成尊重教师、感恩教师的良好风尚,进一步营造重视教育、关心教育、支持教育的浓厚氛围。号召广大教师和教育工作者要以先进集体和个人为榜样,落实立德树人的根本任务,以更加坚定的信心,更加饱满的精神、更加务实的作风,为建设美丽新陇南做出更大的贡献!

附件:1.2019年度陇南市教育系统先进集体名单

2.2019年度陇南市优秀教师名单

3.2019年度陇南市优秀班主任名单

4.2019年度陇南市优秀教育工作者名单

中共陇南市委

陇南市人民政府

2020年9月7日

附件1

2019年度陇南市教育系统先进集体名单

武都区东江初级中学

宕昌县实验中学

成县第二中学

康县城关中学

文县城关中学

西和县西峪镇初级中学

礼县湫山镇九年制学校

两当县站儿巷镇九年制学校

徽县伏家镇中心小学

陇南师专

附件2

2019年度陇南市优秀教师名单

周祖辉 武都区第二中学

巩彩红 武都区滨江学校

赵 斌 武都区第二中学

王文艳 武都区深圳中学

杜玉花 武都区滨江学校

蒋 燕 白龙江林业管理局中学

马鹏远 武都区第二中学

王文武 武都区教场小学

张彩云 武都区葆真小学

崔海琴 武都区教场小学

张生斌 武都区隆兴九年制学校

韩培德 武都区两水中心小学

马 莉 武都区幼儿园

赵小斌 旧城中学

李孟孟 宕昌县计子川小学

马小燕 宕昌一中

高彦强 宕昌县实验中学

李林科 宕昌县官亭九年制学校

许成信 宕昌县旧城中学

苏宝勤 宕昌一中

文彦星 宕昌县南阳中学

冯亚军 成县第一中学

魏亮亮 成县化垭农职中

石建宁 成县城关中学

赵 菁 成县东街小学

赵 琦 成县支旗学区

崔夷平 成县红川学区

侯爱民 成县镡坝学区

王 伟 康县第一中学

田奋强 康县第一中学

贾永宁 康县岸门口镇初级中学

尹满军 康县阳坝镇初级中学

刘晓强 康县碾坝镇中心小学

成艳红 康县城关二小

冯 霞 康县阳坝镇中心小学

陈晓梅 康县幼儿园

肖 华 文县第一小学

张文辉 文县一中

文昊祥 文县东坝中学

杜 娟 文县城关中学

张宇薇 文县中庙中学

邵红霞 文县第二小学

刘 慧 文县第二中学

王治安 西和县第一中学

何 晴 西和县职业中等专业学校

赵西宁 西和县城关九年制学校

王成会 西和县北川初级中学

冯选军 西和县石峡镇九年制学校

张红红 西和县西青永丰小学

张长军 西和县何坝镇中心小学

马富田 西和县西高山何山教学点

姚淑珍 西和县向阳幼儿园

刘萌娟 礼县北城小学

樊 娜 礼县盐官镇新联小学

翟 耀 礼县白河镇中心小学

南 赟 礼县雷王乡初级中学

杨扣进 礼县滩坪镇九年制学校

魏瑞荣 礼县石桥镇初级中学

田来来 崖城镇初级中学

赵 琳 礼县一中

安 锋 礼县第三中学

赵 勇 礼县固城镇初级中学

赵 帅 礼县永坪镇初级中学

霍青山 礼县湫山镇九年制学校

丁小霞 两当县城关小学

叶 磊 两当县香泉初中

郭春艳 两当县西坡学校

詹金霞 杨店乡九年制学校

周旭升 徽县第一中学

宋旦旦 徽县第二中学

刘亚军 徽县第三中学

谈晓江 徽县永宁镇明德小学

杨克勤 徽县银杏中心小学

李 妮 徽县泥阳镇中心小学

屈随祥 徽县水阳初级中学

张 芳 陇南师专

车文明 陇南一中

权林涛 实验小学

唐克美 陇南育才

附件3

2019年度陇南市优秀班主任名单

郭粉朋 武都区东江中心小学

李永平 宕昌县城关三小

张文瑞 成县成州中学

罗 元 康县阳坝镇中心小学

陶艳娟 文县第一小学

苏 辉 西和县第二中学

陈 旺 礼县白河镇铨水小学

马丽君 徽县第四中学

李爱兵 陇南市一中

杨小羽 陇南师专附校

附件4

2019年度陇南市优秀教育工作者名单

黄兆杰 武都区教育局

尹倩倩 宕昌县城关一小

闫 华 成县教育督导委员会

王爱明 康县教育局机关

陶国兴 文县教育局

王 贵 西和县蒿林乡九年制学校

米金亮 礼县教育局

胡正徽 两当县教科局

梁建存 徽县教育局

蔡福永 陇南扬名中学

郭 娇 陇南市教育局

陇南市教育局关于表彰2020陇南市

“市长教育奖”优秀学校、

优秀普通高中毕业生、

优秀初中毕业生和优秀家长的决定

近年来,市委、市政府高度重视教育事业发展,坚持优先发展教育,逐年加大教育投入,持续改善办学条件,深入推进教育扶贫和义务教育均衡发展,全面深化教育改革,健全完善考核评价体系,加强教师队伍建设,全市基础教育质量得到稳步提升。全市教育系统认真贯彻落实全国、全省、全市教育会议精神,全面贯彻党的教育方针,落实立德树人根本任务,大力实施素质教育,深入开展家校共育活动,促进学生成长成才和全面发展,涌现出一批质量较高的中小学校,品学兼优的初高中毕业生和优秀家长。

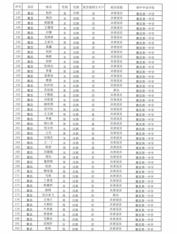
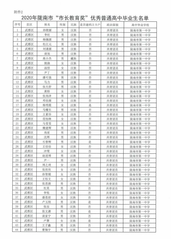
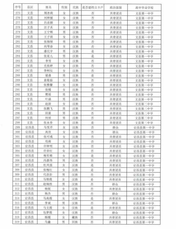
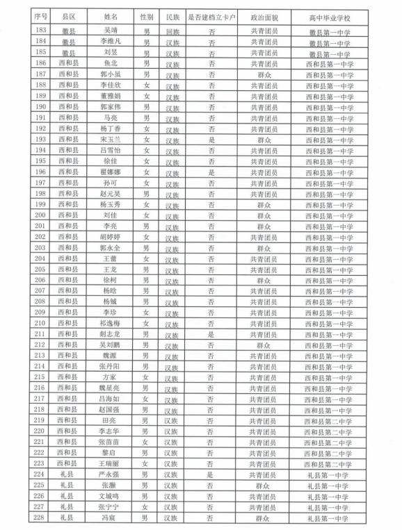
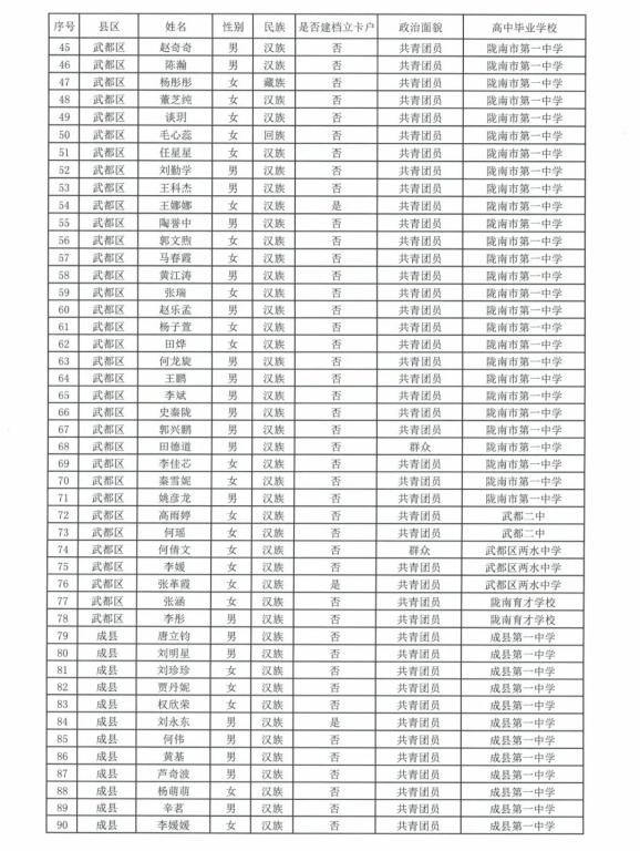
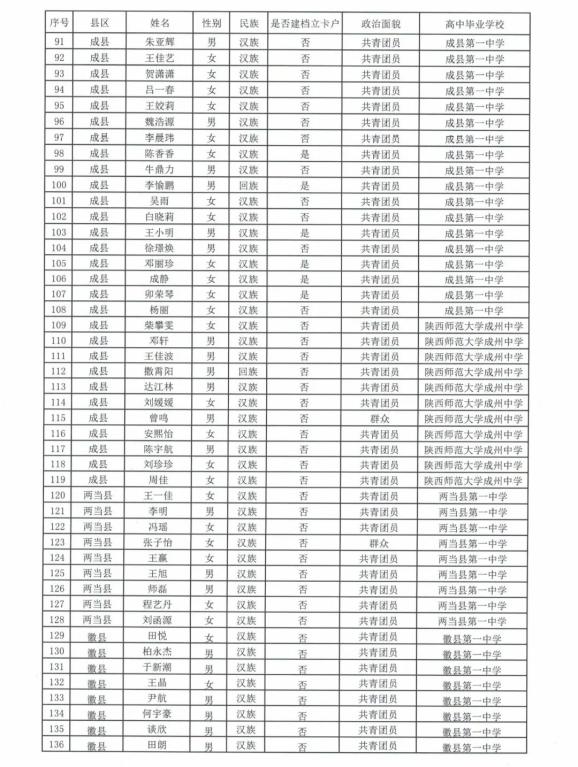
为深入贯彻落实《陇南市人民政府关于建立激励机制加快提升普通中小学教育教学质量的通知》(陇政发〔 2020 )34号)精神,充分调动校长和教职员工的积极性,鼓励优质生源在市内学习,建立健全学校、家庭、社会"三位一体” 育人体系,促进全市基础教育质量快速提升,市教育局组织开展了优秀学校、优秀学生、优秀家长的评选工作。评定陇南市一中为2020年陇南市“市长教育奖”优秀高级中学、武都区城关中学为2020年陇南市“市长教育奖”优秀初级中学、陇南市实验小学为2020年陇南市“市长教育奖”优秀小学,颁发奖牌一面,分别奖励资金40万元、30万元、 20万元。评定李旺等319名同学为2020年陇南市优秀普通高中毕业生,颁发荣誉证书和市长教育奖学金,其中奖励考入北京大学的李旺和孙晓丽同学奖金各3万元;奖励杨明霞等43名建档立卡贫困户家庭优秀普通高中毕业生奖金各1.3万元;奖励杨镇源等274名非建档立卡贫困户家庭优秀普通高中毕业生奖金各1万元。评定张昕瑞等101名同学为2020年陇南市优秀初中毕业生,颁发荣誉证书和市长教育奖学金,奖励资金各3000元。评定李国平等同志为2020年陇南市优秀家长,颁发荣誉证书。

希望受表彰的学校、学生和家长,谦虚谨慎,戒骄戒躁,继续努力奋进,争取在今后的学习和工作中再创佳绩、再铸辉煌,为陇南教育发展做出更多更大贡献。希望全市中小学校、中小学生和广大家长向受到表彰的同学和同志学习,刻苦学习,立志成才,以他们为榜样,不断提高综合素质,努力培养德智体美劳全面发展的社会主义建设者和接班人。

附件:

1. 2020年陇南市“市长教育奖”优秀学校名单

2. 2020年陇南市“市长教育奖”优秀普通高中毕业生名单

3. 2020年陇南市“市长教育奖”优秀初中毕业生名单

陇南市教育局

2020年9月8日

关注直播

(识别图中二维码观看直播)

原标题:《刚刚!陇南市“园丁奖”、“市长教育奖”出炉》